• 元宇宙:本站分享元宇宙相关资讯,资讯仅代表作者观点与平台立场无关,仅供参考.

知乎热议最丑陋的数学公式:「四次方程求根」高票当选

  • 新智元
  • 2021年10月03日10时



新智元报道

来源:知乎

编辑:LRS

【新智元导读】揭开数学神秘的面纱之后,迎接我们的除了数学之美,还有没有丑陋的一面?最近知乎一个问题讨论最丑陋的数学公式获超四百万浏览,各种各样的丑陋公式都被拿出来批判,其中四次方程求根高票当选,一张A4 纸根本写不下的公式你见过吗?


一直以来数学都是被认为神秘、深奥的一门学科,一个极端简洁又极端精确的公式就能够描述问题,并给出解决方案。

计算机、人工智能行业的推动也离不开数学,吴军博士曾写了一本书《数学之美》,将高深的数学原理讲得通俗易懂,让非专业读者也能领略数学的魅力,让读者了解到如何用数学去解决工程问题。

但数学真的一直都是美的,就没有丑陋的一面吗?

最近知乎上一个热议引起广泛关注,「数学史上你认为最丑陋的公式是什么?」,吸引了超四百万浏览量。

首当其冲的是一个「一元四次方程求根公式」,这个公式基本上跟简洁和美基本上就不沾边了,甚至一张A4 纸都写不下,知乎网友「某数竞狗」用了一张A1 纸才写完整个公式,直接获得超两万四千赞登顶最丑陋的公式。

公式分享者只是一个初一学生,面对如此冗长的公式依然能推理完毕,表示,数学虐我千百遍,我待数学如初恋。

有网友表示,幸亏五次方程不可解,不然只会更丑陋。而四次方程可解的代价就是丑陋到没法看。

也有网友认为,越丑陋的公式,表明信息更不可压缩,包含的信息量显然更大。

还有几名网友提名标准模型(Standard Model)拉格朗吉安获得的丑陋结果,远看这一串英文还以为是一篇小作文呢?

标准模型统一了四大基本力的其中三种,强力、弱力、电磁力,而这个复杂的公式实际上只包含了五个部分:描述了胶子的相互作用、描述玻色子之间的相互作用、描述基本粒子与弱力的相互作用、描述了基本粒子与希格斯粒子和虚粒子在希格斯场下的相互作用、用于消除弱力相互作用中出现的冗余的法捷耶夫-波波夫鬼粒子(Faddeev–Popov ghost)。

这个公式中的第三部分其实出现了错误,公式假设了中微子的质量为0,而1998年日本超级神冈中微子探测器发表有关中微子振荡的结果显示中微子拥有非零质量。现有的标准模型经过简单修正可以解释这个实验结果,因此标准模型依然成立。

目前中微子的质量还没有测出来,要是测出来,网友「扩散性百万涩面包」表示,预订一个诺贝尔物理学奖,应当是没问题。

p line="j7QV">

凝视了一会标准模型公式之后,有网友表示再看一会要猝死了。

还有各种各样有助于睡眠的公式在这个问题的回答下被分享。

当然还有一些各种各样的插值公式,让人回想起被数值分析支配的恐惧。

也有一些人间真实,匿名网友表示,一百多个答案,一个都看不懂,数学不丑陋,数学让我丑陋。

也有网友表示,只要是学不会的公式通通都是丑陋的。

还有一些玩梗的社会学公式,也参与到丑陋公式的提名中。

看完最丑公式,再看一下最美公式净化一下眼睛,这个问题的关注度明显没有最丑高,只有六十万左右的浏览量。

英国科学期刊《物理世界》曾让读者投票评选了最伟大的公式,入选的前十名公式都。

10、圆的周长公式(The Length of the Circumference of a Circle)

目前圆周率的计算早已过了实用阶段,2019年3月14日,谷歌宣布称,圆周率现在已经突破3000万亿位,达到了31.4万亿位,但圆周率的计算是没有尽头的。

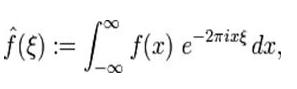
9、傅立叶变换(The Fourier Transform)

它能够把任何不规则的信号都表示为规则的正弦波无限叠加,也是数字信号处理领域的很重要的方法。

8、德布罗意方程组(The de Broglie Relations)

德布罗意认为,任何物质既有粒子性,又有波动性,或者说,任何物质也可以看成是一种波,包括人本身。人不但是作为一种物质存在,某种意义上也是一种波。

7、1+1=2

构成数学世界基础的公式。

6、薛定谔方程(The Schr dinger Equation)

在量子力学中描述物体的状态不能像经典力学中一样用位移、速度等,而只能用一个物理量的函数来描述,这个物理量也不再是某个确定的值,而是一个随时间分布的概率,每一个微观系统都有相应的薛定谔方程。

5、质能方程(Mass–energy Equivalence)

质能方程深刻地揭示了质量与能量之间的关系,在此之前,人们毫无疑问的认为:质量是质量,能量是能量,两者间没有联系。正是质能方程的发现才有原子弹、氢弹的爆炸。

4、勾股定理/毕达哥拉斯定理(Pythagorean Theorem)

勾股定理是用数学方法解决三角图形问题的典型方法,目前有400多种的证明形式。

3、牛顿第二定律(Newton’s Second Law of Motion)

牛顿第二运动定律的常见表述是:物体加速度的大小跟作用力成正比,跟物体的质量成反比,且与物体质量的倒数成正比;加速度的方向跟作用力的方向相同。

2、欧拉公式(Euler’s Identity)

数学上有许多公式都是欧拉发现的,因此欧拉公式并不是某单一的公式,欧拉公式广泛分布于数学的各个分支中。瑞士教育与研究国务秘书Charles Kleiber曾表示:“没有欧拉的众多科学发现,今天的我们将过着完全不一样的生活。”法国数学家拉普拉斯则认为:读读欧拉,他是所有人的老师。

1、麦克斯韦方程组(The Maxwell’s Equations)


麦克斯韦方程组,是英国物理学家詹姆斯·克拉克·麦克斯韦在19世纪建立的一组描述电场、磁场与电荷密度、电流密度之间关系的偏微分方程。它由四个方程组成:描述电荷如何产生电场的高斯定律、论述磁单极子不存在的高斯磁定律、描述电流和时变电场怎样产生磁场的麦克斯韦-安培定律、描述时变磁场如何产生电场的法拉第感应定律。

麦克斯韦方程组在电磁学与经典电动力学中的地位,如同牛顿运动定律在牛顿力学中的地位一样。它所揭示出的电磁相互作用的完美统一,也为物理学家树立了这样一种信念:物质的各种相互作用在更高层次上应该是统一的。

每个人因专业不同、兴趣不同,所认同的最丑陋的、最优美的公式想必也各不相同,不如讨论一下你认为的最美和最丑的公式吧!



参考资料:

http://www.zhihu.com/question/21400777





Copyright © 2021.Company 元宇宙YITB.COM All rights reserved.元宇宙YITB.COM