• 元宇宙:本站分享元宇宙相关资讯,资讯仅代表作者观点与平台立场无关,仅供参考.

懂什么叫自动做市商吗?进来学习,省的人前跌份...

  • FastDaily
  • 2022年9月02日12时

本文属于老雅痞原创文章,转载规矩不变,给我们打声招呼~

转载请微信联系:huangdiezi,更多DAO、Web3、NFT、Metaverse资讯请关注老雅痞

信息来源自substack,略有修改,作者Benny Attar

编译:RR

随着时间的推移,金融市场也在随之发展。在过去的几年里,我们看到了去中心化金融的惊人增长以及自动化做市的兴起。在本文中,我们分析了自动化做市的简短而复杂的历史及其对加密市场的影响。

首先,需要理解以下几个定义才能完全理解本文:

  • 区块链:一个去中心化的分布式数据库,通过节点对交易进行持续不变的验证。加密资产、去中心化应用程序和智能合约的底层技术。

  • 去中心化金融(DeFi):基于智能合约和区块链技术运作的金融产品。使金融民主化的数字革命。

  • 自动做市商(AMM):一个去中心化的资产交易池,允许用户通过对其流动性的无缝交易来购买和出售加密货币。

  • 去中心化交易所(DEX):点对点平台,允许用户在没有中介的情况下转移加密资产,通常使用AMM作为其交易池。

  • 流动性池:存储在智能合约中的数字加密资产“池”。AMM在流动性池的基础上运行。

  • 流动性提供者(LPs):相当于AMM的做市商,即为了增加流动性而将加密资产存入流动性池的人。作为回报,他们从该平台或池中交易产生的费用中获得奖励。

与流行观点相反,自动做市商并非是纯粹为加密货币市场而发明的。事实上,几十年来,学术界对AMM的研究颇多。早在2002年,Robin Hanson在对数市场评分规则的研究中就首次提到了AMM。后来在非加密货币环境中对AMM的研究围绕着信息聚合(2004)、预测市场(2006)、贝叶斯模型(2012)和博彩市场(2012)展开。

然而,AMM首次被用于加密货币是在2016年由以太坊创始人Vitalik Buterin发表的一篇具有历史意义的Reddit帖子中,其中他讨论了以预测市场的运行方式运行去中心化交易所的想法。


Vitalik的想法得到了广泛的关注,并被一个社区迅速跟进,两年后,他又发表了一篇后续文章,对去中心化交易所的实际运作进行了更多说明。几个月后,Hayden Adams宣布推出Uniswap协议,从而开始了第一代加密货币AMM。



第一代加密AMM:奠定基础

Uniswap革命性地将自动化做市商引入了加密领域。他们提出了一种确保去中心化交易所持续流动性的公式:CPMM模型。

CPMM和Uniswap的崛起

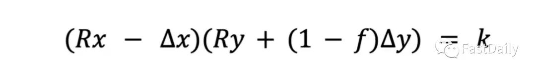
Uniswap引入了CPMM公式,以确保在以太坊的代币交换中有恒定的流动性。该公式如下:



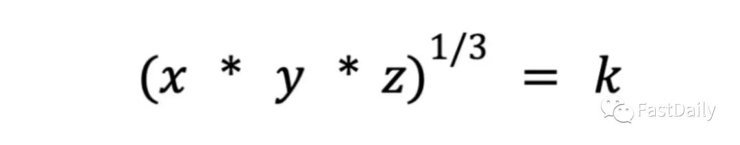
其中Rx和Ry为每个代币的储备,f为交易费用,k是一个常数。或者更简单地说:



其中x是代币1,y是代币2,k是一个常数。


从本质上讲,Uniswap将两种正在交易的资产合并为一个流动性池。其目标是确保无论交易规模如何,流动性池的规模都保持不变。假设资产x是ETH,资产y是DAI。为了保持k恒定,x (ETH)和y (DAI)只能相互逆向移动。当你购买ETH时,会增加y而减少x。最终,流动性池将变得不平衡,向资产y倾斜。这时套利者会进入市场并迅速调整其平衡,以换取差价的利润。



Uniswap的CPMM模型是一种范式转变,原因有几个。首先,它是第一个将中间商从交易中完全去除的去中心化交易所。它将简单的流动性、快速的交易与使报价非常接近正确价格的链上机制相结合,这是革命性的。然而,最令人印象深刻的是,这只用了不到300行代码。

经过大量的准备、正规化和宣传,Uniswap的发布非常成功。自推出以来,它们一直是使用最活跃的DEX。


CPMM的缺点

尽管有这么多显著的进步,Uniswap和最初的CPMM仍然有其缺点:滑点、无常损失和安全安全风险。

滑点是订单的预期价格与实际执行时的价格之间的差额。鉴于加密货币不可预测的波动性,每个代币的价格可以根据交易量和活动情况经常波动。最常见的情况是,流动性较低或交易规模较大的资金池受到的影响最大。滑点百分比显示了在整个交易过程中某一特定资产的价格的移动情况,同时也代表了用户对滑点的容忍度是多少。

无常损失是指你存入流动性池的资产价格的变化。鉴于在流动性池外发生的价格波动,储户面临错过潜在收益的风险。价格变化越大,储户面临的无常损失就越多。正因为如此,在无常损失方面的风险要小得多。

影响CPMM的其他风险是智能合约、平台及其内存池中的固有安全风险。然而,随着生态系统的成熟,安全性和MEV预防也随之提高。总的来说,任何尝试去中心化金融的人都应该做好遭受经济损失的准备,毕竟这个行业还非常年轻且不成熟。

CSMM

CPMM之后出现了CSMM。这种AMM对交易过程中接近零的价格影响来说是理想的,但它不能提供无限的流动性。他们遵循的公式如下:



其中Rx和Ry为每个代币的储备,f为交易费用,k是一个常数。这看起来很熟悉。更简单的写法为:



其中x是代币1,y是代币2,k是常数。根据这个公式可以绘制出一条直线。



不幸的是,如果链下价格与池中的代币不匹配,这种设计会让交易者和套利者有机会耗尽其中的储备。这种情况会破坏流动性池的一方,使所有的流动性集中在一种资产上,从而使流动性池无法使用。正因为如此,CSMM是一个AMM很少使用的模型。



CMMM


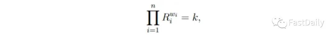
第一代AMM的第三种类型是由Balancer公司推广的CMMM。在这种AMM中,每个流动性池可以拥有比传统的两种更多的资产,并且可以不同于传统的50:50加权系统进行加权。最终,每个储备的加权几何平均值保持不变。CMMM满足以下公式:



其中R为各项资产的储备,w为各项资产的权重,k为常数。在一个具有三种资产的同等流动性池中,等式可以简化如下:



其中x是代币1,y是代币2,z是代币3,k是常数。在 Balancer 的文档中有对此非常详细的介绍。



尽管能够将多达8项资产组合在一起,但CMMM仍然存在诸如无常损失和最低资本效率等问题。归根结底,第一代AMM是为现代AMM构建基础的时期。

第二代加密AMM:改善局限性

我们发现了阻碍第一代AMM成为金融巨头的关键限制。价格波动、无常损失、资本效率、安全性和可用性等问题对初始AMM的影响最大。幸运的是,社会渴望创新,新一代AMM在不久后诞生了。很难准确指出它发生的时间,但2020年的DeFi之夏无疑是一个主要的催化剂。然而,新一代AMM中最著名的是Curve的Stableswap。

混合性CPMM和Curve.Fi

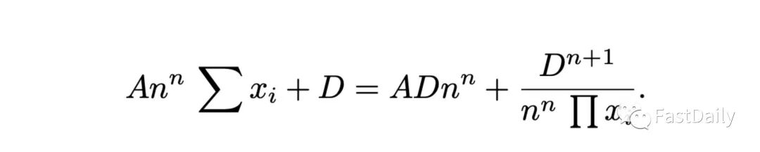
Curve Finance将传统的CPMM和CSMM相结合,创造了混合型CPMM。Curve提出了一个先进的公式:


其中x为各项资产的储备,n为资产数量,D为不变量(储备的总价值),A为放大系数(类似于“杠杆”,基本就是曲线的弯曲程度)。



当流动性池处于平衡状态时,Curve Stableswap是CSMM;当流动性池处于不平衡状态时,Stableswap是CPMM。它通过大幅减少彼此密切相关的资产交易的滑点来建立其市场契合度。



Curve的Stableswap尤其适用于稳定币(因此得名),因为它们的价格影响较小。后来,正如我们所看到的,Curve推出了他们为不相关的资产设计的第二个版本的资金池。

最终,Curve成为了第二代AMM的赢家。直到几个月前的市场大崩盘,Curve在总价值锁定(也被称为TVL,是衡量平台资产价值的指标)中所占比例仍然很高。


除了Curve,我们会注意到第二代AMM还有许多其他的重大成就。其中许多继续扩展并解决了我们在第一代AMM中发现的问题。

其他第二代AMM

虚拟自动做市商(vAMM),衍生品和永续协议

永续协议为AMM引入了一个新的应用,使永续合约的交易完全在链上进行。简而言之,永续合约是类似于期货合约的衍生品,但没有到期日。永续协议使用与Uniswap相同的AMM公式(x * y = k),但没有存储资产的流动性池(k)。相反,所有资产都存储在一个智能合约中,该合约包含支持vAMM的所有资产。正如vAMM的“虚拟”部分所暗示的那样,vAMMs不是用来交换真实的代币,而是用来交换衍生品等虚拟的合成资产。

自永续协议推出以来,围绕链上衍生品交易的创新和炒作层出不穷。其他一些平台包括Synthetix、GMX和FutureSwap。

主动做市商(PMM)和DODO

为了增加协议的流动性并提高资金利用率,DODO引入了主动做市商(PMM)。简而言之,PMM利用链上的oracle来收集准确的价格数据,并在当前市场价格附近聚集流动性。为了做到这一点,DODO主动地移动资产池的曲线,以确保有足够的流动性,并在整个市场价格上创建一个更平坦的曲线。随着曲线变平,流动性变得更广泛,用户将从较低的滑点中受益。DODO还实现了单边流动性,即一个交易对有两个独立的资金池(买入池和卖出池)。在某些方面,PMM是最接近传统做市商的模式。



Bancor

Bancor被广泛认为是DeFi的创始人之一,其案例很有意思。Bancor是区块链历史上第一个以最大的代币生成事件之一推出的AMM。然而,在其最初的几个月里,中心化和安全问题阻碍了它的全面发展,最终导致Uniswap获得了市场主导地位。

然而,Bancor本身也有一些值得注意的创新。最初的Bancor协议发明了现在的流动性池,当时称之为“中继”和“智能代币”。Bancor V2和V2.1提供了无常损失保护(在质押资产100天后)和单边流动性。Bancor 3引入了即时无常损失保护、自动复利和双边奖励,以及其他各种有趣的功能。然而近几个月来,该协议出现了一些设计问题,阻碍了其作为领先DEX的发展。

SushiSwap和流动性挖掘

在2020年8月,一个匿名开发者分叉了Uniswap的源代码,并通过治理代币和质押奖励创建了一个更关注DeFi社区的竞争克隆体。通过对Uniswap流动性的吸血鬼攻击,Sushiswap迅速获得了知名度和大量用户。这是DeFi历史上发生的第一次链上恶意收购。攻击发生后,Sushiswap获得了近9%的DEX交易量和大量的社区关注。然而几天后,化名的创始人Chef Nomi以3.8万ETH(约合1400万美元)的价格出售了整个开发基金。此举引发了社区的愤怒,Chef Nomi将所有资金退回,并发表了道歉声明。自其备受争议的成立以来,Sushiswap已经开发了一个备受好评的DeFi生态系统,拥有一套包括了多链DEX、借贷市场、代币启动平台、流动性供应奖励系统和最近的AMM开发框架的DeFi工具。尽管起步不顺,Sushiswap还是为自己创造了强大的声誉。

第二代AMM概述

在第二代AMM中,我们看到了那些在第一代出现的问题通过复杂的数学方程、独特的流动性池混合以及为AMM创建的各种其他金融用例得到了解决。

第三代加密AMM:当代巨兽

在仔细分析了第二代AMM的创新之后,人们会认为第三代AMM将通过更复杂的研究和解决方案将这些重塑提升到一个更高的水平。然而令人惊讶的是,这个假设被证明是错误的,第三代AMM主要由两个在第二代的基础上进行了改造和更新的庞然大物主导,它们是Uniswap V3和Curve V2。

在这一部分文章中,我们将分析他们的突破性创新、他们的崛起,以及他们如何在一定程度上垄断了市场。

Uniswap V3和集中的流动性

之前,我们讨论了Uniswap的推出及其在市场上的主导地位。在2020年5月,Uniswap推出了他们的第二个版本Uniswap V2,该版本引入了ERC20对、价格oracles、flash swap以及其他各种技术改进。虽然这对平台来说并没有太大的变化,但这无疑是创新的一步。然而,之后的Uniswap V3创造了自动化做市商的新范式。


2021年3月,Uniswap宣布了其平台的第三次迭代Uniswap V3。其中他们引入了两大新功能:集中的流动性和多个收费层级。集中的流动性使LP可以对其资本配置的价格区间进行精细的控制,从而大大提高了资本效率,显著降低了滑点,同时也防止了任何资产自由下跌的情况。灵活的收费方式让LP有机会根据他们存入的货币对的预期波动性调整自己的保证金。



自Uniswap V3推出以来,他们已经拥有7000亿美元的交易量、90%的Uniswap交易和超过55亿美元的TVL(在2021年11月达到了100亿美元的峰值),并在DEX市场份额中占据了很大比重。



Curve V2 和自动化

我们之前讨论了Curve创建的混合CPMM、Stableswap以及它们在直接挂钩资产的去中心化交易中的重要性。在Uniswap v3发布几个月后,Curve宣布他们创建了一个直接的竞争对手:Curve V2。

在Curve V2中,Curve扩展了他们的Stableswap创新,使所有资产都能使用高效资金池,而不仅仅是稳定币。此外,与Uniswap V3类似,Curve引入了集中的流动性——但有一点需要注意:LP不会去选择他们的流动性范围。相反,Curve内部的做市算法和价格oracle创建了流动性区间,从而为LP创造了一个被动的环境。有人抱怨Uniswap的流动性过于集中,需要对DeFi新手进行过多的主动管理,Curve对这一点进行了调整。除了自动化的集中流动性之外,Curve还引入了定制的资金池,以适应任何LP的想法(尽管创建资金池相当复杂)。

尽管集中流动性的自动化是一项开创性的发明,但它的代价是,更有经验的DeFi用户无法积极管理他们的基金。再加上Curve的粗糙的用户体验,这就是为什么大多数替代币的流动性仍在Uniswap上的原因。无论如何,就效率和价格滑点而言,Curve的交易执行力可能优于Uniswap。

在撰写本文时,Curve的TVL确实比Uniswap高出5亿美元,尽管其峰值TVL是后者的两倍多。然而,在总销量、营收和市值等各种其他指标中,Curve始终位于Uniswap之后。



简而言之,Curve很可能会吸引更高级的DeFi用户,尽管他们号称的集中流动性自动化让我感到困惑,因为他们的客户足以自行配置流动性。趋势表明,Curve的主导地位正在提高,鉴于他们的技术与Uniswap相当,甚至更强,纯粹的心理和采用障碍正在阻碍他们的发展。

最终,Uniswap V3和Curve V2是第三代AMM的两个明显的赢家。然而,第三代AMM的其他创新也值得提及。

其他第三代AMM

Solidly

Solidly是一个基于Fantom的AMM,它允许对相关和非相关资产进行低成本、近零滑点的交易。尽管它没有任何显著的AMM设计创新,但其复杂的代币经济学机制设计主要专注于交易量和交易金额,而不像传统加密AMM那样仅仅激励TVL和流动性供应。它之所以成名,是因为它的创始人是DeFi教父Andre Cronje,他最终的离开导致了Fantom TVL的暴跌。最终,Solidly给Fantom带来了许多声誉,尽管自其衰落以来,它几乎已经过时。



Lifinity


lifinite建立在Solana区块链的基础上,扩展并结合了Uniswap和DODO引入的理念。虽然集中的流动性提高了资本效率,但无常损失的问题仍然普遍存在。因此,Lifinity在集中流动性的基础上增加了一个带有Pyth oracle的主动做市机制。由于Lifinity的流动性池不依赖套利者来保持价格的准确性,因此无常损失的风险大大降低。Lifinity还添加了一种自动再平衡的机制,以确保池中两种资产的价值始终保持不变。



加密AMM的未来:解决最大的问题


在本文中,我们讨论了加密货币AMM背后的概念如何从一个单的代数方程演变成了一个创新的生态系统。开发人员对DeFi的兴趣与日俱增,其实用性也在不断提升。


然而,我们现在要克服的最大障碍存在于生态系统。去中心化金融的活跃用户仍然只是加密货币用户的一小部分,也是全球金融体系的一小部分。要创造新的金融范式,用户必须跟上。尽管解决无常损失、资本效率和滑点等问题对于促进世界范围内的采用当然是必要的,但这些创新往往只会使DeFi变得更加复杂。像“DeFi在后,FinTech在前”(指的是应用程序的底层后端是去中心化金融,而用户体验像现代FinTech一样无缝)这样的运动是引领这一趋势的必要条件。


如前所述,最大的DEX Uniswap拥有60万独立用户。而最大的集中式加密交易所Coinbase拥有超过1亿的认证用户。这意味着,超过1亿人已经对加密货币感兴趣,但尚未进入可以主动控制自己财务的DeFi。当然,促进新手加密货币用户向去中心化金融平台过渡将赢得所谓的“DEX战争”。


我们已经在许多DeFi平台上看到了这种趋势。协议会优先考虑编写良好的文档、简单的布局(具有讽刺意味的是,第二大DEX Curve除外)和平台的游戏化(在我看来,这个想法有问题:金融不应该被游戏化),让新手用户更容易进入去中心化的金融世界。


就在上周,Avalanche区块链上最大的DEX Trader Joe公布了他们新的AMM——Liquidity Book。简而言之,它允许将流动性定价到固定仓位中,将集中流动性的想法进一步推进。再加上他们简单易用的一体化金融生态系统平台,也许这是一个正在我们眼前展开的趋势。最近几个月的其他新的创新包括混合AMM、MEV捕获AMM以及在DeFi环境下比特币用例的增加。对下个月万众期待的ETH合并的预期也将极大地影响去中心化金融,因为能源使用将减少约99%,从而为交易提供更大的带宽。


总而言之,去中心化金融的主流应用采用是摆在我们面前的最大障碍。不过我可以确定,我们每天都在向前迈进。


Copyright © 2021.Company 元宇宙YITB.COM All rights reserved.元宇宙YITB.COM